Click on WKA Logo to return to Home Page

To access all News and Newsletter Pages, click:      

Indiana University Clarinet Workshop

Oklahoma University Clarinet Symposium

Clarinetfest 08

Ticino Festival with Sabine Meyer

Buffet Clarinet Academy

Clariarte Clarinet Course with Vienna Clarinet Connection

Clarinet & Klezmer Galillee Festival - Israel

Claremont Clarinet Festival

TCU Clarinet Workshop

Charles Neidich Music Seminar- Japan

Potsdam Single Reed Summit October 08

Liszt Weimar Clarinet Master Kurse with Neidich

Japanese Clarinet Festival August

Apeldoorm Clarinet Master Class- Netherlands

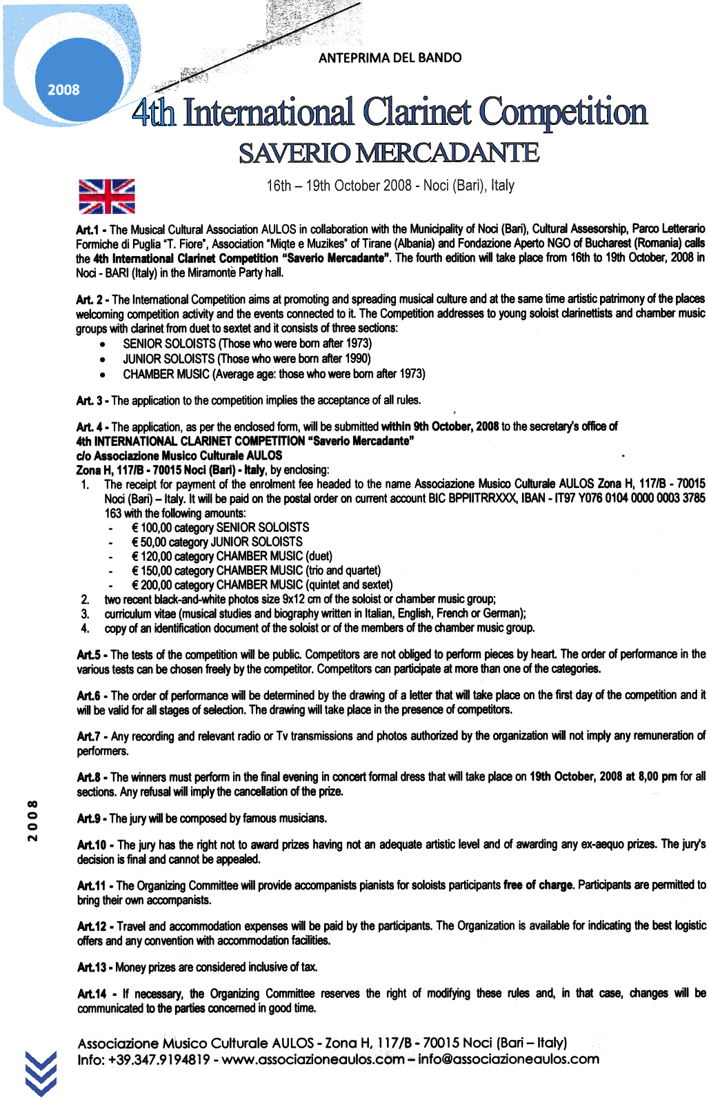
Mercandante Clarinet Competition - Italy - October

Munich Clarinet Competition - September 08

Vintage Clarinet Quartet Workshop - July

Michigan State University Clarinet Spectacular - October

Iowa Clarinet Day - September

7th International Clarinet Master Class - Czech Republic - August

Boston Clarinet Day - 5 October

NEWSLETTER - SUMMER - JUNE - AUGUST 2008

             A new event announcement method is now implemented to assist WKA members in their pursual of events. In each quarterly Newsletter segment, the events are posted in date order on those month pages only to avoid repeated postings and possible confusion.  Newsletters are constantly updated like the Hot News Pages as events and news is variable and it is important to be as up to date as possible.

WKA Holiday Newsletter 2007

WKA Winter Newsletter 2008   - January - March

WKA Spring Newsletter 2008  - April - June

WKA Autumn Newsletter 2008 - September- November

                   
Product Brochure Features & Specifications Other Portable Recorders

The latest addition to Sony’s family of portable audio recorders, the PCM-D50 recorder adopts many of its features and style from the highly acclaimed PCM-D1 model, including rugged construction and cool design. It’s the ideal choice for making live musical, nature sound and field recordings. The PCM-D50 is a 96 kHz/24-bit recorder fitted with two-position (X-Y or Wide) stereo microphones, 4 GB of internal flashmemory and a Memory Stick Pro-HG Duo™ slot for additional storage. Operating on four AA alkaline batteries, it provides 14 hours of record operation at 44.1kHz 16bit recording. Unique features such as a two-position stereo microphone, a prerecord buffer that records five seconds of audio before hitting the record button, digital pitch control, and A/B segment/ repeat offer great portable possibilities for songwriters, musicians and journalists. To complement the PCM-D50 recorder, new optional accessories include a remote control, tripod stand, and microphone windscreen.


 
Superb Recording Quality
The PCM-D50 is a 96kHz/24 bit linear recorder that records in standard .WAV file format and surpasses standard DAT sound quality. A low signal-to-noise ratio provides virtually noise-free recording quality.

 
 
Expandable Memory
With a 4GB built-in memory, the PCM-D50 records up to six hours when recording in 44.1kHz 16bit CD quality mode. And the Memory Stick Pro-HG Duo Slot provides up to 4GB memory expandability.

 
Built-in Microphones
The PCM-D50 recorder comes equipped with a high sensitivity, built-in, two-position electret condenser stereo microphone with flexible rotation for either X-Y or Wide stereo positions.

 
Playback Functions
The PCM-D50 recorder provides MP3 playback, a special Digital Pitch Control feature that slows down playback without changing pitch, and an A/B segment repeat feature that allows you to mark and repeat segments.

 
Versatile Recording Functions
The Dual Digital Limiter feature helps prevent distortion, a pre-record buffer records five seconds of audio before hitting the record button, and Super Bit Mapping technology helps achieve, wide, dynamic range.

 
 
PC/Macintosh Compatible
The PCM-D50 utilizes a simple drag and drop file transfer via high-speed USB connection.

 
Rugged Construction
Constructed of lightweight metal (aluminum), the PCM- D50 recorder is built rugged to withstand the demands of pro applications.

 
 
 

                   A serious aspect of musical development besides the lesson studies, physical technical development, musical performance in several venues, and more, is the importance of listening to music through live performances and recordings.  In the last few years, technology has advanced to the point where listening and recording has become state of the art.  When the Digital era started 30 years ago, it revolutionized the entire professional mastering field.  In 1981 when Sony introduced the now legendary PCM F1, the unit, consisting of a book-side processor matched with a Betamax SL 2000, same size, about destroyed the Analog recording industry with specifications 30+% better than analog recordings with Dolby and DBX Noise Reduction (for reducing hiss- Signal-Noise Ratio). These PCM F1 units cost $2000 plus the SL-2000 for another $800.  Analog studio machines cost about $6000+ depending on features.  Add the Mastering Tape on 10" reels running at 15 or 30 ips (inches per second), the cost was very high to make recordings of Studio quality.   In the last year, a new era of Digital Recording technology has made its mark again.   A new unit called the Sony PCM D50, a handheld unit utilizing microchip technology, and costing only $500, delivers specifications even hotter than the Sony F1 including 96 KHz oversampling, over double that of what is recorded on CD's.  The unit includes built in Stereo XY Condensor microphones, making the unit perfect for concerts, rehearsals, lessons, practicing, and more.  The unit weighs less than 1 pound.  It is highly recommended for every player, teacher, as it can make for music progress in an accelerated way.

Bose Wave music system
The Wave® music system is engineered with waveguide speaker technology to deliver enhanced audio performance. The Bose® Wave® music system is setting a bold new standard for tabletop systems, and may well become the primary music system in your home.
Enlarge image»

Roll over to see colors Titanium SilverGraphite GrayPlatinum White
Purchase today and receive a premium backlit remote, free. $39.98 value.

 
Titanium Silver Add to cart
IN STOCK
Graphite Gray Add to cart
IN STOCK
Platinum White Add to cart
IN STOCK
   
Wave music system – the acclaimed tabletop CD player and FM/AM radio
Learn what's inside the Wave music systemLearn how the Wave® music system reproduces lower musical notes
Learn more »
Hear what Bose customers have to say about the Wave music system Hear what people are saying about our newest tabletop music system
Learn more»

 

Popular Science called the original Bose® Wave® radio "a sonic marvel." Now, the Wave® music system builds on the achievements of its acclaimed predecessor to set a whole new standard in audio performance, simplicity and elegant design. This innovative music system provides lush, room-filling sound from a system so small and simple to use, it fits almost anywhere.

Enjoy crisper, more accurate sound with the Bose Wave® music system

The Wave® music system reproduces one-half octave lower musical notes and delivers even greater clarity and definition than the original Wave® radio/CD. With its deeper tones and even more lifelike sound, you might just feel like you’re sitting in the front row.

Inside, our new proprietary waveguide speaker technology combines with other Bose® technologies to deliver enhanced performance—at all listening levels. You'll hear the same clear musical nuances whether you turn the volume up or keep it soft.

You'll also enjoy the full depth and range of every vocal or instrument on newer MP3s, CD-R/RWs, and conventional CDs. Listen to CDs created on your computer and take advantage of the new digital MP3 format to enjoy hours of uninterrupted Wave® music system quality sound.

Wave music system—simplicity by design

The Wave® music system was engineered to be delightfully easy to use. There are no visible buttons. Instead, the entire music system is completely and conveniently controlled by a credit card-sized remote control. And setup couldn’t be easier. The CD player, digital AM/FM tuner, amplifiers and speakers are all built-in so you can enjoy quality sound right out of the box.

The large, bright display panel is easy to read and understand, prominently displaying the artist, title and album names of your suitably encoded MP3 CDs. It's also easy to enjoy the system's full, rich sound with your iPod or MP3 player, computer, TV or DVD player. And just plug into the headphone jack to keep the music to yourself.

Elegance in a distinctive design

The Wave® music system may look familiar, but it takes the original award-winning design of the Wave® radio/CD to new levels. With its absence of buttons and a convenient slot-loaded CD player, the Wave® music system is different from customary bookshelf stereos. Its slim, sleek profile shines through to complement just about any room.

You'll also enjoy more options for placing your music system where its distinctive design looks best. That's because the speakers are magnetically shielded to prevent interference from TVs or computer monitors.

Learn how you can expand your Lifestyle system to another room with your Wave music system and Bose linkYour Wave® music system can even become part of an expanded home entertainment experience. With Bose® link, the Wave® music system is now compatible with select Lifestyle® systems. So you can easily extend your Bose listening experience to multiple rooms.

It comes with a 30-day excitement guarantee

We offer a 30-day risk-free in-home trial so you can compare, side by side, the sound of the Wave® music system to that of larger and more expensive sound systems.

Quotes are reprinted with permission: Marcelle M. Soviero, Popular Science, 12/93

Key Features


 
Purchase the Wave® music system and make payments as low as 41.58 a month

Learn more
 

Receive our
Wave® System Comparison Guide

Get information from Bose,
right in your inbox


Ways To Shop Shoppers' Guide Already A Customer Email Signup
Be the first to know
Sign up for Bose® emails.
Get the latest on products,
special offers, store events and more.
Go

 

               Another Tech aspect is the availability of playback systems for listening.  Many students are financially limited, and need a music hi-fi system at a good price for the performance.  There are obviously many of these systems that can be purchased at a hi-fi store, and one that has become very popular by its small size and all inclusive design that can be placed on a desk is a BOSE Music Wave System, costing about $500. Information on the company websites.

               The summer is has been busy with Clarinet events of high importance and several artist tours and developments.  Below are some major events of note including Alia Sabur's Korean University Professorship, and a major International tour with Anat Cohen, a major Israeli Jazz Clarinetist.  Check below for more information.  In addition, as introduced at the ClarinetFest 08 in Kansas City, are Clarinet Method publications just released to benefit all levels of students leading to the College level by Dr David Etheridge, Clarinet Professor at the University of Oklahoma and founder and Director of the Oklahoma Clarinet Symposium held every June.  Information regarding these books below:     

Sabur teaching Engineering

Sabur and Bil Jackson

           A remarkable recognition was last week shown on the MSNBC Today Show highlighting an unbelievable feat by a young teenager noted on the Guinness World Book of Records as the youngest ever University Professor teaching Engineering and Mathematics at a University in Seoul, Korea.  She is a genius, having graduated summa cum laude at 14 from the State University at Stoney Brook, and hold an MS and PhD from Drexler University in Philadelphia, at age 19.    She is Alia Sabur from Philadelphia, Pennsylvania, and also a Clarinet prodigy studying with Ricardo Morales of the Philadelphia Orchestra and a past student of the late David Weber. Information on the April Hot News Page.  Such information should be an incalculative inspiration to young students and parents alike in how focused proactive child-raising and supporting a child in achieving such goals can have its rewards.  On 21 May Dr Sabur was named as WKA Student Affairs Chairman aimed at encouraging student and aspiring Clarinetists to reach their goals to become effective and educated players and to achieve the highest goals they can reach.  All are encouraged to contact Dr Sabur with their views and issues as she is a true accomplishment role model and anxious to serve all players and students.

 

Anat Cohen, Jazz Clarinetist on Summer International Tour


Hello good people

 
I am very happy to be sharing a stage with my Brothers, Yuval & Avishai as well as some of NYC, New Orleans and Israel's top Jazz musicians in different locations and continents this month:
The 3 Cohens are finally releasing BRAID (Anzic Records 2007) in Israel.
Please spread the word and forward to whomever you think will enjoy this show:

Avishai Cohen � Trumpet
Yuval Cohen � Soprano Saxophone
Anat Cohen � Tenor Sax & Clarinet
Aaron Goldberg � Piano
Jonathan Blake � Drums
Gilad Abro � Bass
We will be performing from June 2nd to the 7th every night in the following venues in Israel:

June 2nd: (Monday)
Venue: Zappa
Address: Raul Valenberg 24, Tel-Aviv. Phone 03-767 4646
8:30pm doors open
10:15pm show time

June 3rd: (Tuesday)
Venue: Levontin 7 (Levontin 7 Street, Tel-Aviv, Phone 03 -560 5084)
8:30 pm doors open
9:00pm show time

June 4th: (Wednesday)
Venue: Camelot Hertzeliah
Address: Medinat Hayehudim 95, Hertzeliah, phone 09-958 8993
8:30 doors open.
10 pm show time.

June 5th: (Thursday)
Venue: Tzolelet Tzehuba (Yellow Submarine), JERUSALEM
phone 02-679 4040
9 pm Doors open
10 pm show

June 6th: (Friday)
Venue: Zappa, Address: Raul Valenberg 24, Tel-Aviv. Phone 03-767 4646
9:15pm doors open
11:00pm show time

June 7th (Saturday)
Venue: Levontin 7 (Levontin 7 Street, Tel-Aviv, Phone 03 -560 5084)
8:30 pm doors open
9:00pm & 11:00pm show time

June 12th, 13th & 14th :The 3 Cohens will be playing with Yuval Cohen Quartet at the Caesarea Harbor Jazz Festival, in a special program dedicated to the tradition of Jazz. These shows will be outdoor shows at the �Tayelet� at 6:30 pm (till about 8 pm) in Caesarea, Israel. it will be fun!

June 13th: Duke Heitger's nine-man-band
Venue: Caesarea Harbor Jazz Festival
City: Caesarea, Israel
Time: 9pm
With: Duke Heitger on Trumpet, Warren Vache on Trumpet, John Allread on Trombone, Ken Peplowski on Clarinet and Sax, John Sheridan on piano, Howard Alden on Guitar, Nicki Parrott on Bass, Joe Ascione on Drums and Myself on Tenor Sax and Clarinet.

ALSO: Back in the Northern Part of the Americas:

JUNE 21st:
Anat Cohen Quartet with Jason Lindner on piano, Ben Street on bass and Daniel Freedman on Drums:
Venue: Night Town
City: Cleveland, OHIO
Time: 8pm
Address: 12387 Cedar Road, Cleveland, OH 44106

JUNE 22nd:
Anat Cohen Quartet (same personnel as June 21st)
Venue: Temple Israel
City: West Bloomfield, Michigan
Time: 3:30 pm
Address: 5721 Walnut Lake Rd., West Bloomfield, MI, 48323

JUNE 25th:
Anat Cohen Quartet at the JVC FESTIVAL, NYC
With special guests Yuval & Avishai Cohen and:
Jason Lindner on Piano
Ben Street on Bass
Daniel Freedman on Drums
(Double bill with Esperanza Spalding Quartet)
Venue: New York Society for Ethical Culture
Time: 8 pm
Address: 2 W 64th St
the historic building is on 64th Street at Central Park West, two blocks east of Lincoln Center and five blocks north of Columbus Circle.

JUNE 29th:
3 Cohens Sextet at Stanford University
Venue: Stanford Jazz Workshop @ Stanford University
City: Stanford, CA
Time: 2:30 pm

JUNE 30th:
Anat Cohen Quartet (opening for Charlie Haden Quartet)
With Jason Lindner on Piano, Ben Street on Bass and Daniel Freedman on Drums.
Venue: Maisonneuve Theatre de la Place des Arts
City: Montreal, CANADA
Time: 9:30 pm

That�s it for the month of June.

For those of you who are in Europe, Stay tune for an updated e-mail about some quartet shows in Europe in July:

 
July 8 � Sunset, Paris, France
July 9th: Le Club, Vienne, France
July 10th: Victoria, Oslo, Norway
July 11th; JazzClub Fasching, Stockholm, Denmark
July 12th Copenhagen Street Parade, Copenhagen,
July 13th North Sea Jazz Festival, Rotterdam, Netherlands.
More details in the next mailing.


Thank you everybody for all the support

I hope to see you sooner than later
Somewhere around the globe

Peace

Anat

 

        A remarkable fusion of musical forces is converging at Lincoln Center's Avery Fisher Hall with a Supercharged Patriotic concert 3rd and 4th July with the United States Military Academy Band from West Point.  It is not often that a Special high performance Military Band plays alongside and shares a program with such a World-Class Orchestra like what is coming. A very recent Alumni Reunion attested to the incredible performance level of this great Band in the same standard as the Bands in Washington, DC. 

 
New York Philharmonic eNotes


 
Contact Us
 
 

Summertime Classics Opens Tomorrow!

Summertime Classics

 

The Philharmonic's
summer festival of popular
classics is about to begin.

Tickets $24 - $54

Reserve your seats today.

 

Summertime video

Watch our TV spot to learn more. 

 

 
Back to top
 
Back to top
United States Military Academy Band
THU JUL 3 7:30pm  
FRI JUL 4 3:00pm  
 
Buy Tickets Learn More
July 3-4
Musical Fireworks

Simply spectacular! The combined forces of the New York Philharmonic and the United States Military Academy Band from West Point deliver
a Fourth of July salute like none other.

Bramwell Tovey conductor
United States Military Academy Band
     Lt. Col. Timothy J. Holtan
     Commander/  Conductor

Bramwell Tovey: Urban Runway**
Copland: Four Dance Episodes from Rodeo
USMAB  Selected works for Wind Band
Sousa: Selected marches featuring the
     United States Military Academy Band and
     the New York Philharmonic

**  World Premiere - joint commission for the New York Philharmonic and Los Angeles Philharmonic

Watch video Watch video of Bramwell Tovey
 

Order Today at nyphil.org or (212) 875-5656

 

West Point Band and New York Philharmonic Collaborate after 44 Years
by SFC Eric Miller

           As the West Point Band prepares for its popular Music Under the Stars concert series, two particular summer performances resonate with its members.  On July 3rd and 4th, the Concert Band will perform with the New York Philharmonic at Avery Fisher Hall in New York City.  The Philharmonic will perform the world premiere of Bramwell Tovey’s Urban Runway and “Four Dance Episodes” from Rodeo.  The Academy Band will feature its Staff Arranger, Master Sgt. Douglas Richard, performing his composition Celebration for a New Era.  The concert will also showcase The Official West Point March and Donald Grantham’s Farewell to Gray, a piece commissioned by the West Point Band in honor of the U.S. Military Academy’s bicentennial celebration.  The concert will conclude with both the Philharmonic and the West Point Band performing Sousa’s Liberty Bell and Stars and Stripes as well as the service songs of the Armed Forces.

        The joint performance underscores a unique association between the West Point Band and the New York Philharmonic.  The Academy Band performed with the Philharmonic in 1964, and Philip Egner, composer of On Brave Old Army Team and The Official West Point March, was actually a cellist in the Philharmonic prior to his appointment as Teacher of Music and Bandmaster of the Academy Band in 1909.

        In February of 2008, Academy Band musician Staff Sgt. Denver Dill performed with other principal players of the Philharmonic as a part of its “Day of Berio” concert.  Like Staff Sgt. Dill, many members of the Academy Band have also garnered a relationship with musicians in the Philharmonic during their musical studies.  The West Point Band and New York Philharmonic affiliation has also facilitated recent solo performances for Philharmonic musicians to be showcased at West Point.  For many summers, the principal trombonist of the Philharmonic, Joseph Alessi, has performed with the Academy Band.  This summer, Philip Smith, the Philharmonic’s principal trumpet, will be featured on August 3rd at Trophy Point.

        Undoubtedly, this unique Independence Day collaboration between both musical organizations will not only be entertaining, but is destined to evoke the patriotic sensibilities of its listeners.  See the West Point Band and the New York Philharmonic in “Musical Fireworks” on July 3rd at 7:30 p.m. or July 4th at 3:00 p.m. in Avery Fisher Hall.  For further concert information, or to purchase tickets, please visit the New York Philharmonic’s website at www.nyphil.org/ or call (212) 875-5656.

       Clarinet Professor - Sabine Meyer - 27 July- 2 August 2008

Logo TicinoMusica
Ticino Musica


Under construction - In Bearbeitung - In costruzione

TICINO MUSICA is a workshop for young musicians from all over the world who, through study and performance together with internationally renowned musician- teachers, widen their cultural horizons and deepen their artistic experience as a preparation for their professional life.

 

Individual lessons - chamber music

Listener in all courses - concerts

 

for information:

Ticino Musica
Casella postale 117
CH - 6903 Lugano (Switzerland)

tel. +41 (0)91 980 09 72
fax. +41 (0)91 980 09 71

ticinomusica@bluewin.ch

Steve Cohen Master Class

Ben Redwine and Steve Cohen - Poulenc Sonata

Duet from far out in hall

Redwine and Cohen

Master Class

 

 

Margaret Thornhill's
 

3rd Annual Summer Clarinet Workshop and
Claremont Clarinet Festival
June 9-15, 2008 at Pomona College, California

 

 


2007 Participants
 

Gearing up for the Clarinet Marathon, on stage at Bridges Hall of Music.
Pictured 2007 Participants with (l to r)Dr. Margaret Thornhill: Thomas Carroll; Vicente Ortiz; Lori Musicant Koch; Wendy Mazon; Bolb Goldstein; David Beech;
D'Arcy Weinberger; Lucie McGee; Nichole Pacquing
 


"A terrific experience--I was tremendously pleased, and came home with about a tenfold increase in my enthusiasm for playing"--Robert Goldstein
"It was a transforming event for me"--D'Arcy Weinberger
"Thank you for all that happened in the week, all was fantastic for me"--Vicente Ortiz, Castellon, Spain
"It was a great experience for me and I'm glad I came"--Thomas Carroll, Oberlin Conservatory

 

 

The 2008 Clarinet Festival will bring together an intimate group of 20 clarinetists for six days of performance, study, and sharing with
clarinet coach Dr. Margaret Thornhill faculty pianist-coach, Twyla Meyer, and guests. Participation is open to advanced and intermediate adult players: college students, young artists and adult amateurs.
 

 

Come join us in Lyman Recital Hall and the Mabel Bridges Hall of Music on the beautiful Pomona College Campus as we explore the solo and ensemble repertoire in interactive masterclasses, rehearse, perform in recital, play in clarinet quartets and a massed clarinet choir, and do constructive and critical listening to each other.New, optional events for 2007 included a masterclass in orchestral excerpts and a group class with a certified Alexander Technique teacher.

The Summer Clarinet Workshop is run on a non-for-profit basis. Tuition fees are the lowest that will cover actual expenses of the workshop. Production of the workshop is contingent upon minimal enrollment.

 


 

2007 Clarinet Masterclass Pictures
For inquiries about 2008, please contact us.
2008 Tuition:$1085
Room and Board: $365

 

CLAREMONT CLARINET FESTIVAL CONCERTS
June 14, 15, 16, 17 2007



2008 Activities and Schedule
2007 Application (2008 Application available 12/07)
Campus Housing
Contact

Telephone: 310-464-7653

 

 

 

   

June 12th-June 15th                   

 

                     The 5th Annual To Play is To Blow...To Blow is To Play...
                       Clarinet and Saxophone Summer Mini-Camp and Recital
  
                               

Featuring, students of Richard Nunemaker. Also featured on this concert will be a world premiere composition by Houston's Paul English for the To Play is to Blow...To Blow is To Play...ensemble. Performance, June 15th, 2:30 PM, Cullen Hall, University of St. Thomas, 4001 Mt. Vernon, Houston, TX 77006. Free admission.

 

 

Domaine Forget       

Woodwind Session - 15 -29 June 2008

Le Domaine Forget
5 St-Antoine, Saint-Irénée QC G0T 1V0, Canada
Téléphone : (418)452-8111
Télécopieur : (418)452-3503
www.domaineforget.com

 
:: Home : Academy : Sessions : Woodwind Session

Woodwind Session - 15 -29 June 2008

This program is offered to intermediate, advanced level students and professionals. It includes private lessons, master classes, chamber music classes, orchestra excerpt classes, and baroque music workshops.

Clarinet
Larry Combs
1st Clarinet, Chicago Symphony.
 
Private lessons
June 15 to 22
Jean-François Normand Private lessons
June 15 to 22
Marie Picard
2nd clarinet and Bass clarinet, Quebec Symphony.
 
Private lessons
June 15 to 29
François Benda
School of the Arts, Berlin Academy of Music, Basel
 
Masterclasses
June 22 to 29

© 2007 Domaine Forget

                                                   16 -20 June 2008

_________________________________________________________________________________________________________________________

 

Texas Christian University Clarinet Workshop - 23 - 24 June 2008

 

 

 

 

 
International Clarinet Association


 
Search
 
 


 


 

 
About Us
Membership
The Clarinet Journal
ClarinetFests
Competitions
Research Center
Clarinet Archives and Information
Contact Us
Site Map

Copyright © ICA
2004-2008.
All Rights Reserved.
 

ClarinetFest 2008
  Registration   Lodging   Transportation & Directions   Artist Roster  
  Schedule   Exhibitors   Advertising Information   Sponsors  
ClarinetFest® 2008 will be held on July 2-6 in Kansas City, sponsored by the University of Missouri-Kansas City Conservatory of Music in cooperation with the International Clarinet Assocation.   Jane Carl is the host and artistic director with assistance from artistic committee members Nophachai Cholthitchanta, University of Arkansas; Tod Kerstetter, Kansas State University; and Stephanie Zelnick, University of Kansas.  ClarinetFest® 2008 will feature a roster of artists from around the country and around the globe.  There will be special emphasis on chamber music, newer clarinet works, lesser known works, and themed concerts.  Tributes will be paid to Larry Combs, Fred Ormand, and George Silfies. 

Performances will take place at the Conservatory and at Unity Temple on the Country Club Plaza, a short distance from the university.  The Country Club Plaza is a remarkable area full of fountains and sculptures built in the 1920’s based on the architecture of Seville, Spain.  It has an abundance of fine shopping and 30 diverse restaurants to choose from.

Within walking distance from the convention are the Kemper Museum of Contemporary Art, the internationally renowned new Bloch Wing of the Nelson-Atkins Museum of Art, and the Toy and Miniature Museum.  There are many of the areas of the city to explore on your visit to Kansas City including the historic 18th. and Vine District which contains both the Kansas City Jazz Museum and the Negro Leagues Baseball Museum, the Harry S. Truman Library and Museum in Independence, Union Station’s Science City and railroad exhibit, the new National World War I Museum, baseball at Kauffman Stadium with the Kansas City Royals, and Kansas City-style barbeque restaurants too numerous to mention.  We hope you’ll join us in Kansas City this July to experience it all!

We will continue to update our site with important information regarding ClarinetFest® 2008, so please check our site regularly.

 

 


 

 

 

Application deadline - May 2, 2008 - Enrollment limited to 18.
 


 CLICK HERE TO
 APPLY ONLINE NOW!

 
    Belgian Clarinet Academy

 
   

Study clarinet with two of the world's respected pedagogues, Robert Spring (USA) and Eddy Vanoosthuyse (B), and local clarinetist Tamara Cuypers, in beautiful Ostend, Belgium.

Housing will be with guest families for early registrants.

Tuition: 400 EURO.
Tuition covers all classes, private lessons and daily lunch.

Daily study includes private lessons, master classes, recital performances, reed making and adjusting, orchestral performing, and audition success.

Application due May 2, 2008 - enrollment limited to 18.


 

 

The Clarinet Web Site

Home

Biography

Sponsors

Events

Commissions

Summer School

Consultations and Teaching

The Clarinet Overhaul Service

Articles

For Sale

Links

Contact

Guestbook

Family News

The Clarinet Summer School 2008

Saturday 19th – Wednesday 23rd July 2008
Liverpool Hope University College, Everton Campus, Liverpool
 

Course tutors
Introduction
The Basics
Time to learn & time to play
Performances
Instruments & Repairs
Reed Adjusting
The Intermediate Course
How others see us
Sponsorship
Location
Course fees
Application form

PROPOSED COURSE TUTORS

Andrew Roberts
Course Founder and Director
Antony Pay
International Soloist
Dr Kevin Murphy
Head of Woodwind & Clarinet Professor, Wells Cathedral School
Janet Crossley
Clarinet teacher and past student of The Clarinet Summer school
Caroline Wheeler
Clarinet teacher for Liverpool Music Support Service
Dr Christopher Mimnagh

Head of Knowsley Primary Healthcare Trust & Medical Advisor to the Royal Liverpool Philharmonic Orchestra

Chris will be on hand once again to help alleviate and, in some cases, suggest ways to prevent many of the problems that musicians at all levels can suffer.

" Musicians can be their own worst enemies, they love what they do, live life to the full, practise to achieve perfection, then wonder why the guarantee expires on their body parts. My advice is ‘give up now’! However, for those of you hell bent on the masochistic life of a clarinet slave, my practical alternative advice will be available during The Clarinet Summer School!"
Dr Christopher Mimnagh

 

INTRODUCTION

For over a decade The Clarinet Summer School has been very proud to have a roster of top International guest tutors.

[Image: Antony Pay]This year we are fortunate to have the distinguished British clarinet player Antony Pay (pictured right) as a guest tutor.  Tony has a prolific career which has encompassed all styles of clarinet playing from contemporary to classical performance; he is also in demand as a teacher in many countries.

2008 will be the 11th year of The Clarinet Summer School, yet it retains a fresh approach each year by considering different aspects of clarinet playing. The course provides excellent tuition in advanced clarinet playing from top European specialist teachers.

This year the emphasis will be on ensemble playing, from duos to full clarinet choir, with the chance to play on many different clarinets from E flat to Basset Horn and perhaps some early clarinets.

 

The Advanced course

THE BASICS!

The well established and successful structure of the course will cover various topics including building a good technique, everything from forming an embouchure to style of performance through workshops, presentations and masterclasses.

One of the most successful parts of the course is the opportunity to listen to live and recorded performances by many and varied players for students to develop their own keen ear and concept of style and tone. Students have brought some interesting recordings along for others to hear and found that there is a wealth of performers and styles still waiting to be discovered.

Top

 

TIME TO LEARN & TIME TO PLAY

Scheduled time for private practising provides space to evaluate the new information that flows during the week, with further opportunities to create music together in ensemble groups.
 

Encouraging students to form quartets, trios and duos to play together regularly will be a prominent feature of the course. Practice rooms are available in addition to the use of the private en-suite bedrooms (for residential students). This is one of the few courses to offer the luxury of single rooms with private facilities. Special diets can be catered for with advance notice.

Every effort will be made to give everyone on the course some one-to-one tuition.

Classes on the harmony clarinets (Bass, E-flat and Basset Horn etc.,) are included in small groups, broadening the appeal of the course to the tutors and students alike.

Top

PERFORMANCES

The main emphasis of the course is communication, especially in performance. An opportunity to develop these skills with the help of the experienced tutors and accompanists is available to all participants. Performers often take the accompanist for granted, but here you will learn to fully appreciate how much you rely on them when you have the opportunity to test your new skills during the informal midday concerts.

The course tutors will present an Informal Concert on Sunday 20th July (open to the public), when non-playing friends and family can attend and perhaps take time to visit Liverpool in its year as the European Capital of Culture 2008 www.liverpool08.com

 


Fabio Di Casola uses his Swiss charm during a workshop

Behind the scenes the trade stands allow time to try something new

Practising the “finger breath” between sessions

Kevin Murphy conducts the clarinet choir in the Atrium at the World Museum Liverpool

Join in the fun of ensemble playing, in both large and small groups. Budding conductors, composers and arrangers all actively encouraged!

Top

INSTRUMENTS & REPAIRS

 

 


Wolfgang Löhff is on hand to help with fine tuning the instruments
 

During the week, the trade stands will have one of the largest collections of clarinets available in the UK including models from Buffet, Leblanc, Selmer and some customised instruments from Lohff and Pfeiffer of Denmark. For further information about this please read the section from the link How to choose an instrument.

 

Wolfgang Lohff will be on hand to give demonstrations of his work and to undertake some repairs and overhauls. Wolfgang Lohff can offer customised tuning for any clarinet players during the course, when booked in advance.

The Clarinet Overhaul Service will also available after the course. There is currently a waiting list so advance booking is required.

 

REED ADJUSTING

This is perhaps the most vital part of any player’s equipment. Learning to fix reeds that don’t work will not only save money, but will improve consistency as a player more than anyone would believe possible.

Playing on properly balanced reeds is essential to any clarinet player. During the course this essential aspect is covered to give players the confidence to go away and use many of your rejected reeds!

To get you started check out this link

Top

The Intermediate Course

Janet Crossley will be leading a two-day course for students of Grade 4-7 on Saturday morning 19th  through to Sunday evening 20th July 2008.

All students have the opportunity to play in ensembles and workshops which introduce some technique and performance related ideas. Students on the Intermediate Course are invited to attend the Tutors concert on the Monday evening free of charge.

During the course the students have a chance to hear some of the most popular pieces from the Associated Board list for the relevant Grades given by the tutors. A great opportunity to hear live performances of the set works, with advice on presentation and preparation for Grade Exams.

Students on the advanced course will be given the opportunity to try out their teaching skills. Several full-time teachers have found this to be just what they needed as a refresher. (click this link for review from a past teacher on the course).

A draft timetable for the 2008 course will be available in February 2008. Students interested in attending may contact Andrew Roberts via this website to suggest the areas they would like to see covered on the course.

 

HOW OTHERS SEE US?

Past students have enjoyed past courses, here is what they have to say...

Andrew, I have finally have a few minutes since returning home to send a short email to you regarding the Summer School.  I can't thank you enough for a wonderful week of meeting new people and focusing in on clarinet specific issues in a way that I have never experienced before. 

I have taken away a great deal of knowledge and information which has increased my clarinet-playing skills incredibly.  I can hear a substantial difference in my sound compared to how I played before attending the course.

Thanks again for a wonderful experience and I look forward to being able to attend another Summer School whenever you end up putting one on again.

Brad Gresham
Campbellville, Ontario, Canada.

I attended The Clarinet Summer School in 2000. Then, I had some fundamental embouchure and technical problems. Now I am training with the City of Birmingham Symphony Orchestra. The course speaks for itself- START SAVING. “

Ciaran O’Donnel
Belfast, Northern Ireland

Please click here to read the report on The Clarinet Summer School 2005 by Julia Middleton

Please click here to read the report on The Clarinet Summer School 2004 by Joanna Brown

Top

The Clarinet Summer School can only function with the generous support of its sponsors:

Lohff and Pfeiffer
[Image: Liverpool Hope University logo]

 

LOCATION

The course is held on a site just one mile (15 minutes walk) from the city centre of Liverpool, which is presently the European Capital of Culture in 2008. The city is changing fast, and is a vibrant centre for the arts, shopping and other entertainment.

Hope at Everton is just 3 miles from the end of the M62 motorway, or just a few minutes from Lime Street rail station or 20 minutes by taxi from Liverpool John Lennon Airport. (flights from many European destinations via EasyJet, Ryanair and Wizz)

For a full road map refer to the website http://www.hope.ac.uk/MAPS/ColmapEverton.pdf (447Kb)

International students attending can also fly into Manchester International Airport (35 miles), just 45 minutes away by taxi.

2008 course fees

Advanced Course

£329 inclusive (Full board accommodation and tuition).
£199 Non residential rate, but inclusive of meals and tuition.
£45 Daily course rate + £29 per night accommodation (B&B basis)

Intermediate Course

£80.00 inclusive of meals (non-residential)      
Extra night B&B (per night) £29.00

Payment may be made by credit card.

Top

APPLICATION FORMS

Will be available online from the end of January 2008

For further information please contact:

Andrew Roberts aroberts@theclarinet.co.uk
36 Nicander Road, Liverpool L18 1HY, UK
+44 7968 555534

 

                     

The Liszt School of Music Weimar, Germany

 
 

Master Class Clarinet: Charles Neidich


         Born in New York with Russian and Greek descent; after studies in Anthropology at Yale, Fulbright grant for study at the Moscow Conservatory; winner of prestigious international competitions such as the Walter W. Naumburg Competition in 1985, as well as competitions in Munich, Geneva and Paris; member of the New York Woodwind Quintet; appearances with such ensembles as the Orpheus Chamber Orchestra, Tafelmusik, Mozzafiato, and the Juilliard, Guarneri, American, and Mendelssohn String Quartets; career as soloist with numerous prestigious orchestras and conductors; continuing activities as conductor; recordings for Sony Classical, Deutsche Grammophon, Hyperion and Bridge; from 1985 to 1989 professor of clarinet at the Eastman School of Music; currently on the faculty of SUNY Stony Brook, the Juilliard School of Music, the Manhattan School of Music, and Brooklyn College CUNY
 

Accompanists: Thomas Wellen

Course Period: 21 – 26 July 2008
Course Languages: English
Orchestral Studio: 24 July 2008

Registration Fee: 150 €
Active Participation: 230 €

Accommodation costs
Leonardo Hotel 20 - 27 July 2008
½ Double Room: 154 €
Single Room: 294 €
prices not incl. breakfast

Hotel Kaiserin Augusta 20 - 27. July 2008
½ Double Room: 182 €
Single Room: 308 €
prices incl. breakfast
 

Guestprofessor's concert:
23 July 2008 Musikgymnasium Schloss Belvedere
Participants’ concert:
25 July 2008 Festsaal Fürstenhaus

Application

___________________________________________________________

25 - 31 July 2008

Branco, Portugal

Program information above in gallery

 

August 1 ~August 12,  2008
 

 

 

 Charles Neidich Music Seminar

   Charles Neidich's Music Seminar in Kitakaruizawa, Japan

Woodwind Seminar

 

Charles Neidich and Ayako Oshima, Music Seminar in Kitakaruiza, Japan
 


 

 

 

deutsche Version
 

 

International Clarinet Days 2008
Melchsee-Frutt (Switzerland)
August 3 to August 10, 2008

Masterclass:

clarinet - bassclarinet - ensembles
Monday, 4th of August - Saturday, 9th of August, 2008
Hotel Glogghuis***, CH-6068 Melchsee-Frutt
Switzerland

 

Teacher:
Bernhard Röthlisberger

 Clarinetist and bassclarinetist in the Lucerne
Symphony Orchestra (CH),
teacher at Lucerne Conservatory,
different masterclasses throughout Europe,
many concerts as a sololist or chamber
musici
Bernhard Röthlisberger, Klarinettist und Bassklarinettistan, numerous CD-recordings.
Website: www.clarinet.ch
E-mail: br@clarinet.ch


 

 

 Concerts:

Final Concert
Saturday, 9th of August 2008, 5.00 p.m.
Hotel Glogghuis

Students perform in concert

Free entry to the concerts of
"Klassik auf der Alp"

 

 

 

 

 

 
© Copyright 2008, B. Röthlisberger, CH-6275 Ballwil, Switzerland
 

            

            2008 SUMMER CLARINET ACADEMY -  August 4-9, 2008

        
 

Buffet Crampon USA is pleased to announce application and audition information for the 2008 Summer Clarinet Academy, to be held August 4-9, 2008. Please click on the links below for information on how to apply to the Academy, audition materials, the Artist Faculty, curriculum and the University of North Florida, once again the Academy's host institution.  (Academy open to US residents age 18-26 only)  Deadline for Application and CD submission is 15 May 2008

This year's Academy Artist Faculty is again an unparalleled assembly of some of finest clarinetists in the world! Students accepted to the Academy will have the opportunity to study with J. Lawrie Bloom (Chicago Symphony Orchestra), Pascual Martinez-Forteza (New York Philharmonic), Eugene Mondie (National Symphony Orchestra) and Ronald Van Spaendonck (Mons and Brussels Royale Conservatoire, Brussels, Belgium).

About the Academy

Audition Procedure

Application Procedure

Student Application

Auditor Application

Curriculum

Tuition and Scholarships

Artist Faculty

Academy Administration

Housing and Transportation

University of North Florida


For any questions or more information on the 2008 Summer Clarinet Academy, please contact Mary Marshall at mary.marshall@buffetcrampon.fr or 866.434.9240.

 
* - Fifth Academy Artist Faculty Member to be announced
 
 
11 -18 August, 2008 - Safed, Israel  with Giora Feidman
 

 

Festival of the Gulf  (Italy) for all musicians and students and their
families August 16th-August 27th 2008 - Wonderful and great price for a vacation and studies! - from Eva Wasserman-Margolis

 

 
> Dear ALL,


> I am again returning to a beautiful small and quaint village in Italy to
> teach clarinet this summer.
> Luigi Magistrelli , my friend and colleague, will also be returning along
> with many other great musicians from the Conservatory of Milan.
> Below is also the web site of the villa in which we all will be staying.
> The food is wonderful and pool and beaches are some of the cleanest I have
> ever seen in Europe. The village is small with summer markets in the
> evenings, a great gelato and cake shop two minutes from our accommodations
> and a port that takes you to places such as Capri and Positano! The
> teachers are great and I very much recommend this place for almost all
> instruments. Please feel free to contact me if you have any questions.


> Note:


> The enrollment fee is not included in the price.
> The course (clarinet) costs 550 Euro plus the 50 Euro enrollment .
> See you this summer in the South of Italy!
> Eva Wasserman- Margolis
>

>
> http://www.fond-passarelli.it/

>
The summer courses of music organized by the Ente Concerti
> Castello di Belveglio, both for professionale and beginners, are open to
> citizens of all nations, students or graduates of music schools,
> conservatories or accademies. Enrollment, to be made by completion of
> application form, must arrive by April 15th, and be accompanied by a
> postal money order to be paid to the Ente Concerti Castello di Belveglio,
> v. Mazzini 11, 14040 Belveglio (ASTI) Italy for Euro 50  enrollment fee
> (not refundable in the event a participant renounces to participate). This
> enrollment fee will be refunded only in the event the Course requested be
> not available.


> The participantes will be lodged at the Passarelli Foundation of San Marco
> Castellabate (Salerno) Italy in rooms of two, three or four persons with
> private bath and telephone. The Insitute is doted with a beautiful private
> park  with tennis courts, play areas,  and swimming pool at no extra cost.
> The nearby seashore (300 meters from the Institute) has both a sandy beach
> and rocky coast, and the antique ruins of Pestum are an important tourist
> site.


> The best accomodations will be reserved to the first enrollments. NO
> SINGLE ROOMS ARE AVAILABLE.
> During the Courses the students will have occasion to participate
> (although not obligatory) as soloists or in groups, receiving a diploma
> and certificate of participation.  All students are required to be present
> at the lessons and must bring their own instrument (except pianists)  and
> music stand.
> The all inclusive cost for lessons and ten days of room and board are as
> follows:

>
> INSTRUMENTAL COURSES       Euro    550
> SINGING and OPERA WORKSHOP Euro   680
> COMPOSITION          Euro     550
> SUPPLEMENT for a second courseEuro 100
>
> Family members or friends desirous of accompanying students can be
> accomodated during the ten day "musical holiday" for Euro 550. The
> accomodations are limited and should be reqiuested early to guarantee
> availability. There are no places available for shorter periods.
>
> The lessons begin during the afternoon of August 17th, ending during the
> day of August 26th.  Meals begin the morning of August 17th and terminate
> with supper August 26th. The rooms can be occupied from the evening of
> August 16th and must be liberated by 8 o'clock the morning of August 27th.
> The railway station nearest the Institute is at Agropoli where buses
> depart every half hour for San Marco until 19,30. There are places
> available in a private bus departing from Naples at 14,30 on Aug 16th with
> arrival at the Institute at 17.00. For voyage information: telephone
> (0039) 339 4841600.
>
>
>
> Ente Concerti Castello di Belveglio
> Festival del Golfo
>   Corsi di Formazione e di Perfezionamento Musicale
>  17-26 agosto 2008     Domanda di iscrizione:
>  All'Ente Concerti Castello di Belveglio,v. Mazzini 11,          14040
> Belveglio (AT) Tel. 0141 955867 335 545831


> Complete name...........................................................
> Place and date of birth..................................
> ..................................................................
>
> Address.......................................................
>  via, codice postale, città
>
> Telephone.......................................................
>
> Course..........................Professor................
>
> I hereby enroll in the Summer Courses organized by the Ente Concerti
> Castello di Belveglio at the Passarelli Foundation (Salerno) and send
> enrollment fee of Euro 50. by  postal money orderas specified in the
> regulations.
>
> Signature..........................................................
> (of parent for minorsi)
> The following persons accompanying a student request accomodations :
> Complete name ...................................................
>
> Address......................................................
>
> Telephone.......................................................

 

****Fondazione Passarelli****

Parco Nazional del Cilento

Castellabate - Patrimonio Mondiale dell'Unesco

                

84071 San Marco di Castellabate

Salerno - Italia

Tel. +39 0974 966009 - Fax. +39 0974 966426

E-mail: fondpass@costacilento.it

 

  • 17th of August – 24th of August 2008Czech Republic

 

The International Masterclasses / Clarinet and saxophone (2008)

University of Ostrava - Faculty of Fine Arts organizes the
7th International Masterclasses for
Clarinet and Saxophone

Home

Fakulta umění
Ostravská univerzita v Ostravě
Podlahova 3
709 00 Ostrava
Czech Republic

english   česky

 

hromadne.jpg, 68kB

 

Date:

  • 17th of August – 24th of August 2008

Dear Clarinet and Saxophone players,
Let us invite you for 7th edition of summer masterclasses at the University of Ostrava from 17th of August – 24th of August 2008. Ostrava is 3rd biggest city in the Czech Republic, placed in the North Moravia, 300 kilometers to the east from Prague. This course will give you opportunity to work very intensively with excellent players and teachers. During one week you will have at least 5 individual lessons! This is, comparing to other similar courses, where you having seldom more than two lessons, big different. Beside studying your repertoire and new pieces, you could work with us for example on developing your tone quality, speed of staccato, good breathing or to learn several new techniques (slap tone, double staccato, circular breath etc). You could listen also lessons of other students (usually we have about 40 students, age from 16 till 50, mostly advanced and medium advanced). There will be two first class pianists, professional repair of clarinets and classrooms for practising available for you during all the course. As the previous years, we make interesting seminars about different themes. We planning also 2 concerts of participants in the Czech radio Ostrava, from where you will get professional recording of your performance. Don’t hesitate to contact us and to ask for more information, or visit our web page with more information about this and previous years, including pictures and recordings.

See you in Ostrava!
Karel Dohnal and Igor Františák

Fee:

  • Individual lesson – 360 Euro
    (the price includes all lessons and accommodation)

Poster:

Application Form:

The deadline for the application is the 20th of June, 2008.

The address:

  • Ostravská univerzita – Fakulta umění (kurzy)
    Sokolská 17
    702 00 Ostrava
    Czech Republic

The fee must be payed by the 20th of June, 2008 to the following bank account:

  • Česká národní banka Ostrava
  • Account No.: 931761/0710
  • SWIFT CODE: CNBACZPP
  • IBAN: CZ 650710 0000 0000 0093 1761

For detailed information e-mail to:

Lectors:

Sylvie Hue (Paris) - Clarinet
Sylvie Hue First soloist of the Orchestra of the Republican Guard of Paris, Sylvie HUE had pursued parallel studies in literature at the University of Paris XII and at the Conservatoire National Supérieur de Musique de Paris. A student of Guy Deplus and Christian Lardé, she obtained a unanimous First Prize in clarinet in 1987 and two First Prizes in chamber music in 1988. She also received a degree in modern literature in the same year. First Prize in the International Competition of Clarinet in Japan in 1988, laureate of the International Competition in Prague in 1991, she has performed in recitals and with orchestras in France and abroad. Concertos and chamber music pieces has been dedicated to her by notorious composers: Pierre Ancelin, Francine Aubin, Roger Boutry, Armando Ghidoni, Richard Phillips... Equally active pedagogically, she teaches at the Darius Milhaud Conservatory of the City of Paris and gives master-classes at the Julian Menendez academy in Spain. Imminent musicians recognize in Sylvie Hue an artist in possession of a proven technique and an exceptional sonority which conveys a great sensibility in her playing. The critics acknowledge her as "one of our best clarinettists." (J. Bonnaure, from Répertoire journal). Sylvie Hue plays on Selmer clarinet and uses Vandoren reeds and mouthpiece.

Music:

  • Sylvie Hue / clarinet, Roger Boutry / piano:
    W. Y. Hurlstone - Four Clarinet Pieces / Intermezzo
  • Sylvie Hue / clarinet, Roger Boutry / piano:
    J. Horovitz - Sonatina for Clarinet and Piano / Con Brio
Jorge Montilla (Caracas) - Clarinet
Jorge Montilla Jorge Montilla is considered one of the best clarinetists in Latin-America and one of the world’s best Eb Clarinet players. Jorge Montilla holds a Bachelor degree in Clarinet Performance from the Instituto Universitario de Estudios Musicales, (Venezuela) a Masters Degree in Clarinet Performance and an Artist Diploma both from Indiana University. (USA) Mr. Montilla’s clarinet teachers have included Filippo Rutigliano, Mark Friedman, Valdemar Rodríguez and Luis Rossi in his native Venezuela, as well as foreign study with Michel Lethiec, Kalman Berkes, Harmen de Boer, Antony Pay, Eddy Vanoosthuyse, Jonathan Cohler, Ricardo Morales and Howard Klug. He has appeared as soloist with the most important Venezuelan orchestras and the Indiana University Chamber Orchestra. He has given recitals in important halls of Venezuela as well as in the USA, Martinique, France, Puerto Rico, Colombia, Costa Rica, Czech Republic, China and Brazil together with leading important soloists and chamber music groups. As a member of the Caracas Clarinet Quartet, Mr. Montilla has concertized extensively throughout the world (South America, Europe, Asia and the USA), he has recorded two CDs (the second featuring Paquito D’Rivera) and his many pieces for the CCQ have made him one of the pre-eminent composers/arrangers for clarinet ensemble today. As a teacher, he has taught clarinet at Arizona State University and he has been Chairman of the Clarinet Department at the Conservatory of Music Simón Bolívar. He has also given master-classes, clinics and workshops for important universities and music conservatories in Colombia, Chile, Barbados, Sta. Lucia, USA, Puerto Rico, China, Costa Rica, Czech Republic and Brazil. "Winner of the Indiana University Woodwind Competition, 2000", the Travel Grant Competition, (2001) the Performer’s Certificate, (Indiana University’s highest award for a performer) semifinalist of the Concert Artist Guild, (2001) and winner of both the Fifth and Seventh Competitions of "Music of Latin America and Spain". (2002 and 2004) At the present, he is Professor at the Latin-American Clarinet Academy of Venezuela, Assistant Principal Clarinet of the Simón Bolívar Symphony Orchestra and member of Zephir (Clarinet Trio), Latin-American Ensemble Taku and Woodwind Quintet "Maslanka". Besides, Jorge Montilla is a columnist for the International Clarinet Association’s magazine "The Clarinet" and keeps a hectic international career as a soloist and as a clinician. Jorge Montilla represents Rossi Clarinets, Rico Reeds and BG Ligatures. His compositions and arrangements are published by Woodwindiana Editions, USA.

Music:

József Balogh (Budapest) - Clarinet
József Balogh Clarinettist, composer, teacher, and member of the highly regarded InterClarinet ensemble. Mr. Balogh is a graduate of the Franz Liszt Academy of Music in Budapest. He has been the principal clarinettist in a number of leading orchestras, including the Budapest Opera Orchestra and the Hungarian Radio Symphony Orchestra. In addition to the clarinet, he plays the saxophone and the Hungarian national instrument, the "tarogato". Somewhat unusal in today's world, he plays both the German and French system clarinets with equal fluency, and has a repertoire encompassing classical, jazz, contemporary, klezmer and gipsy music. In his unique compositions and improvisations, he combines Hungarian and Middle Eastern musical influences to create a highly personal style. "Hagada Klezmer Symphony: Four Glasses of Wine," was premiered in 2004. Jozsef Balogh is a prizewinner of national and international competitions (Prague, Graz and Budapest). In addition to performing at prestigious clarinet conventions and conferences around the world, he has given recitals and masterclasses in Finland, Germany, Austria, Switzerland, Slovenia, England, Israel, the Netherlands, Italy, and the United States. He has also served as a guest professor at the universities of Oklahoma, North Texas and Idaho State in the US, and the Hochschule für Music Nürnberg-Augsburg in Germany. He can be heard on numerous recordings for the Naxos Label as well as on two highly acclaimed CDs with InterClarinet ensemble, both of which feature some of his own works for clarinet quintet. His latest radio broadcasts include being featured as "Musician of the week" by Bartók Radio, Hungary's arts station.
Ronald Šebesta (Bratislava) - Clarinet
Ronald Šebesta Ronald Šebesta studied clarinet at Conservatory and Academy of Music and Drama in Bratislava (Slovakia). During his studies at Academy he did an 8 months study at Conservatoire de Région in Boulogne (F). Since 1993 he is 1st clarinettist in Radio Symphony Orchestra in Bratislava. Since 1996 he plays 1st clarinet in chamber orchestra Cappella Istropolitana. He co-founded several groups of chamber music: in 1988 VENI ensemble for contemporary music; in 1997 chamber group OPERA APERTA ensemble for music of 19th and 20th century ; in 1995 experimental group VAPORI del CUORE, resp. in 2004 experimental group DON@U.com; in 2004 LOTZ trio of 18th century basset horns. He has a sporadic solo performances with Slovak symphony orchestras. Since 2002 he teaches at the Academy of Music and Drama in Bratislava.
Karel Dohnal (Prague) - Clarinet
Karel Dohnal Studied at Ostrava Conservatoire in the class of Petr Bohouš. After he graduated from at the Academy of Performing Arts (with Vlastimil Mareš). In years 1996-1997, he attended the Guildhall School of Music and Drama in London with Thea King and Jullian Farrall. In 1999, he spent three months in residency at the State Conservatory of Rimsky-Korsakov in Saint Petersburg with V. Bezrutchenko and in 2003-2004 he studied at Hochshule für Musik in Berlin with Francois Benda. He successfully participated in many international competitions: 2004 "Premio Valentino Bucchi" Roma/ 1st Prize, 2002 Prague Spring/ 3rd Prize, 2001 XIV. International Music Competition "Pacem in terris" Bayreuth/ 2nd Prize, 1999 International Clarinet Competition Ostende, Belgium/ 1st Prize, 1997 VII. International Clarinet Competition Dos Hermanas, Seville, Spain/ 3rd Prize. During his career up to now, he has given concerts not only in the Czech Republic, but also in many countries in Europe and USA. He has performed concertos by Francaix, Nielsen, Copland, Penderecki etc. with orchestras as Prague Philharmonia, Czech Chamber Orchestra, Talich Chamber Orchestra, Belgrade Philharmonic. Karel Dohnal also regularly engages in chamber music. He is a member of Prague Clarinet Quartet and Trio Amadeus. Last but not least, he intensively studies and performs the music of the second half of 20th century. Karel is playing on Rico Reserve reeds and Selmer Recital clarinets.

Music:

  • Karel Dohnal / clarinet, Václava Černohorská / piano:
    R. Kókai - Four Hungarian Dances / Friss
  • Karel Dohnal / clarinet:
    T. Oláh - Sonata for Clarinet solo
Igor Františák (Ostrava) - Clarinet
Igor Františák After graduating from the Ostrava Conservatoire, where he studied from 1989 to 1995, Igor Františák continued in his studies at the Department of Art and Education of the University of Ostrava under the instruction of senior lecturer Valter Vítek. In 2001 Igor studied at the Norwegian Academy of Music under the tutelage of Prof. Hans Christian Braein. As a soloist Igor has performed repeatedly with the Janáček Philharmonic Orchestra, Musici boemi, Janáček Chamber Orchestra, Camerata Janáček, Ensemble Ameropa, Wihan Quartet, Talich Quartet, Wallinger Quartet and others. In addition to performing as a soloist at recitals, Igor is a member of a number of chamber ensembles. He is a founder of the Stadler Clarinet Quartet and the Ensemble Moravia, who recorded the CD for Slovart. This ensemble won 1st Prize at the International Music Competition "Marco Fiorindo" 2002 (Chamber music) – Italy. Recently Igor has applied himself to the study and performance of the second half of the twentieth century classical music. He has been invited repeatedly to participate in the international festival of contemporary music the Ostrava Days. Igor is currently teaches at the Faculty of Fine Arts of the University of Ostrava.

Music:

  • Igor Františák / clarinet, Eliška Novotná / piano:
    B. Martinů - Sonatina fot Clarinet and Piano / Moderato
  • Igor Františák, Z. Kaleta - clarinets, Janáček Chamber Orchestra:
    G. Ph. Teleman - Concerto for 2 Clarinets and Strings / Allegro
Zbigniew Kaleta (Katowice, Ostrava) - Saxophone, Clarinet
Zbigniew Kaleta Born in Czech Republic in 1976 he began his musical education with his father Jan Kaleta. Graduated with dinstinction from Janáček Conservatory in Ostrava (clarinet class of Valter Vítek) in 1995, University in Ostrava (clarinet class of Valter Vítek) in 1999, Academy of Music in Katowice with Andrzej Janicki in 2001 on a Polish Government scholarship. He graduated also Institut for Jazz and Pop Music of Academy of Music in Katowice (saxophone class of Jerzy Główczewski) in 2004. Prize winner of many nation-wide and international music competitions, among them the first prize at the International Clarinet Competition Polish Music of XX Century in Ostrava (Czech rep.) in 1995, Competition of Czech Universities in Brno (Czech rep.) 1996, Clarinet Competition in Piotrków Trybunalski (Poland) in 1997, Academic Competition for Clarinettists in Włoszakowice (Poland) in 2000.

Since 1997 first clarinettist of the National Polish Radio Symphony Orchestra in Katowice, touring with this ensemble in Europe and other continents, recording for Polish Radio and foreign record companies. As a solist he appeared with the Janáček Philharmonic Orchestra in Ostrava, the Silesian Philharmonic in Katowice, the NPRSO in Katowice, Moravian Philharmonic in Olomouc, Janáček Chamber Orchestra in Ostrava, Impuls Chamber Orchestra in Bytom (Poland) , Chamber Orchestra of University in Ostrava and Silesian String Quartet in Katowice. He performed also for Czech Radio, Polish Radio and recorded a CD with clarinet double concertos by Stamic, Telemann and Backhofen (Stylton) with Igor Františák, accompanied by the Janáček Chamber Orchestra, as well as Dance Preludes by Witold Lutosławski (NAXOS) with NPRSO in Katowice and Pacific Briges by Leo Kraft (CENTAUR) with Moravian Philharmonic in Olomouc. In 1994-97 first clarinettist of the Stadler Clarinet Quartet in Ostrava. He appears also in other chamber ensembles as well as jazz bands – Big Ostrava Band.

Since 2005 teacher of saxophone class on Leoš Janáček Conservatory in Ostrava, since 2006 teacher of clarinet on Academy of Music in Katowice.

Philippe Portejoie (Paris) - Saxophone
Philippe Portejoie He is laureate from the Yehudi Munuhin Foundation has been sponsored since 1990 by Selmer Company. He won, in this same year, first prize in chamber music at the international competition of U.F.A.M. Philippe Portejoie received the Médaille d'Or de Saxophone at the CNR de Nantes under the tutelage of Jean-Pierre Magnac. He received the second prize du concours national d'Aix-les-Bains in 1980. In 1982 he relieved C.A. de Saxophone and first Prize du the CNSM de Paris with Daniel Deffayet. In 1986 he received a diploma in arranging and in 1987 a first prize of composition au concours national de jazz a la défense. He played first alto in the Claude Bolling Orchestra and has performed with such renown jazz artists as Roger Guerin, Stéphane Grapelli, Didier Lockwood, Martial Solal, Kenny Clark, Phil Woods and Jon Faddis.

Music:

PHOTOGALERY

Special thanks:

Special thanks to the Rico, Selmer, Vandoren, Spedidam, Statutary City of Ostrava, Ministry of Culture of the Czech Republic, Czech Radio Ostrava, Grant IGS, Music Fundation OSA and Clar servis.

logo logo logo logo logo logo

Message Owner: Františák Igor
Updated: 14. 04. 2008
 
Content validated by Janáček Zbyněk [10. 01. 2008]
Design validated by Haft Miroslav [10. 01. 2008]
 

21 -26 August 2008  Apeldoorn, The Netherlands

-keep scrolling between page segments of this event-

 

 

22 - 31 August 2008

Hartberg, Austria

Clarinet

Ensemble

COURSE CLARIARTE 2008

For many years we, the members of the „vienna clarinet connection“, have been active as teachers in workshops and courses. Finding a suitable place for a festival and a course for the „vienna clarinet connection“ has been on our minds for quite a while. With the municipality of Hartberg we have now found a partner which makes this project possible. The master class of the ClariArte is intended to become a place of encounter for clarinettists, which caters to the individual needs of each participant.

We offer a variety of topics in our application form. Each participant can choose several arias of special interest from this list. After evaluating the applications a course plan will be drawn up.

The more precisely we know the wishes and needs of the participants, the more specifi cally we can work on their realization.

For the planning and the organization of the course we need your early application as the number of participants is limited.

We look forward to a successful ClariArte 2008.

Vienna Clarinet Connection

                        

27 - 31 August 2008

            
Top Player Schedule Ticket Access To Japanese page
Clarinet Festival 2008 in Tokyo:Tama is a festival of the clarinet held in Parthenon Tama.
The description matter of this homepage (appearance, time, and number, etc.) might be changed without announcement except for on this web site. .
 
Hall Parthenon Tama
Period August 25, 2008(Monday)~August 28(Thursday)  Preliminary contest of the 7th Japanese clarinet competition
August 30, 2008(Saturday)  The 7th Japanese clarinet competition Final
August 28, 2008(Thursday)~August 31(Sunday)  Clarinet Festival 2008 in Tokyo・Tama
 
 



Macintosh HD:Users:nozakitakeshi:Desktop:mangyou.[1].jpg

Organizer


 
Clarinet Festival 2008 in Tokyo:Tama Planning committee
(JCS/Foundation Tama City cultural Promoting Foundation)
Greetings
The Japan Clarinet Society, in partnership with the Tama City Department of Culture, is proud to announce the “Clarinet Festival 2008 Tama,Tokyo.”
This is festival in August will be a celebration of clarinet and fun for students, amateurs, and professionals alike.
Here at JCS we hold a Clarinet Festival annually, but we hope to outdo ourselves this year.
On the program we will enjoy performances from great clarinetists both from home and abroad.
You might even be reminded of the “International ClarinetFest 2005 in Tama.”This year’s Festival will run from the Opening Banquet Dinner on the 27th of August to the Gala Concert on the 31st, in simultaneity with the Seventh Annual Clarinet Competition which will run from the 25th to the 30th.
For everyone that loves music and clarinet- teachers, students, amateurs- we present to you the Clarinet Festival 2008 Tama, Tokyo.

See you there!
Masaharu Yamamoto

Festival Organizing Committee President
Japan Clarinet Society President

Sponsors
 

Tama City
Tama City the board of education

Supporting Companies

Buffet crampon Ltd.
Nonaka trade Ltd
Yamaha Motor Co., Ltd..
Promotion

Rohm Music Foundation

Execution committee organization

Honored chairperson

Sachiko Watanabe of mayor of Tama City
 

Chairperson
 

Masaharu Yamamoto(President of Japanese clarinet society)

Vice-
chairman

Mituru Watanabe(chief director of Tama City Culture Promoting Foundation)
Masasi Togame(Japanese clarinet society vice-president)
Special Counsel Keiji Furuya(Diet member)
 
Planning committee
 
【 Japanese clarinet society 】
Shigeru Ikushima , Daiyuu Ueno , Ikuo Inagaki , Seizi Otuka , Tomohiko Oowada , Seizi Ogiwara , Masataka Kaihoko , Mitusi Kaneko , Kazuhiko Sakamoto ,Seiki Sinohe , Tatsuo Simosawa , Hitosi Sekiguchi , Tadyosi Takeda , Akira Tanaka , Naosi Chiba , Akira Tsunoda , Masasi Togame , Kazuko Ninomiya , Takesi Nozaki , Yurika Hirao , Junichi Hiruta , Takasi Furukawa , Masaharu Yamamoto
【Tama City Culture Promoting Foundation 】Mituhiko Ogawa ,Tosiaki Kantou
【 inter muse Tokyo Ltd. 】Tomoya Ogawa

JCSrogoReference
JCS  Japan Clarinet Society
Japan Tokyo Minato-ku 9chome 1-7-575
phone .81-3-3475-2844 fax.81-3-3475-6417

email:info@2008.jp-clarinet.org   http://www.jp-clarinet.org/

Copyright(c)2008  Japan Clarinet Society Festival 2008 in Tokyo:Tama. All Rights Reserved.

 

 

Copyright © 1999 WKA-Clarinet.org. All rights reserved.
Revised: September 03, 2008